УДК 611.018.8
Существование живого организма во многом определяется процессами переноса информации в его нейрокибернетической системе. Электрические уединенные волны - нервные импульсы - переносят частотно-кодируемую информацию по нервным волокнам с достаточно высокой скоростью, достигающей 120 м/с [1]. Физические основы возникновения отдельного нервного импульса, или потенциала действия, представляют большой интерес как с точки зрения общебиологической, так и для практической медицины: фармакологии, физиотерапии, анестезиологии и т.д.
Установлено [2, 3], что нервный импульс - это мембранный процесс, обусловленный движением ионов, прежде всего Na+ и K+, через периодически открываемые и закрываемые ионные каналы поляризованной мембраны нервных волокон.
Движение иона нужно описывать методами квантовой физики. Оценка показывает одинаковый порядок импульса иона и его квантовой неопределенности. При исчерпывающем описании необходимо на основе уравнения Шредингера найти распределение плотности волны вероятности для иона, движущегося в силовом поле частиц, составляющем ионный канал. Затем максимум плотности вероятности местоположений иона отождествить с его траекторией. Но здесь хотелось бы вспомнить об использовании Бором классического понятия траектории при очень информативном описании атома водорода для примерно тех же соотношений квантовых неопределенностей.
Как известно, все интерпретации классического характера для квантовых явлений ограниченны, но для орбитальных, а следовательно, и спиральных движений они еще возможны.
Возникает вопрос о корректности применения формул электротехники [4] для движения иона в ионном канале, т.к. ионы через канал движутся поочередно. Действительно, определение количества витков соленоидальной части открытого колебательного контура - ионного канала - с помощью электротехнических формул подразумевает, что движется не отдельный заряд, а зарядовый континуум, создающий ток. Хотелось бы заметить, что в модели не используется численное значение величины ионного заряда, а все построение основано на величинах токов. Тем более, что в соответствии с квантовой природой движения иона существует вероятность его обнаружения в данный момент в любой точке траектории. Оценка длины волны де Бройля для движущихся через мембрану ионов Na+ составляет ~ 217 нм, что значительно больше толщины мембраны (принято, что через мембрану проходит 107 ионов Na+ в секунду [1] и скорость иона ~107 H = 0,08 м/с). Для ионов K+ эта длина еще больше, так что можно интерпретировать движение ионов в канале в виде тока. Здесь ситуация примерно такая же, как и при определении орбитального магнитного момента электрона p = I S. Используется понятие тока [5], хотя в действительности имеется квантовое движение электрона по орбите. В стабильности (стационарности) спиральной траектории иона и проявляется квантовый характер его движения. На это же указывает и отсутствие излучения организмом электромагнитных волн на резонансной частоте ионного канала 630 нм.
В [4] используется значение индуктивности нейромембраны из экспериментов [6]. Индуктивность - коэффициент пропорциональности между магнитным потоком и током - не используется в квантовой физике, т.к. является следствием неквантовых уравнений Максвелла; она не может быть связана с отдельно движущимся зарядом, а определяется формой проводника. Поэтому, вводя индуктивность нейромембраны, мы вынуждены использовать известные классические формулы физики. Нахождение поля для отдельно движущегося заряда - совершенно иная задача [5], лежащая вне токовых моделей распространения потенциала действия типа Ходжкина-Хаксли.
В настоящее время уже накоплен довольно большой материал о функционировании ионных каналов. Представляет большой интерес измерение тока одиночных каналов [7]. Эксперименты показывают, что канал открывается практически мгновенно и плавного изменения тока через него не наблюдается. Однако противоречие с предлагаемой классической моделью кажущееся и связано с квантовой природой движения заряда через канал.
Оценим квантово-минимальную величину тока через канал на основе предложенной модели. Ток через ионный канал определяется соотношением I = q ni v S, где q = 1.610-19 К - заряд иона, ni - числовая концентрация ионов в канале, v - скорость иона, S - площадь сечения канала. Учитывая, что ni = mi/(S H), где mi = 1 - число ионов в канале, получаем I = q v/H, где H - толщина мембраны.
На длине спирали канала должно укладываться целое
число nk длин волн де Бройля . Т. е.
2 r n = nk ,
где n - число витков, которые делает ион в канале. Подставляя
= 2
/(mv),
где
= 1.05410-34 Джс
- постоянная Планка, а m - масса иона, получаем: m v r n = nk .
Минимальная скорость иона v будет при nk = 1.
Она равна v =
/(m r n) =
/(m r H).
Подставляя полученное значение скорости в формулу для тока, находим:
.
Вычисления по этой формуле дают минимальный калиевый ток IK = 5.510-12 А, и минимальный натриевый ток INa = 9.310-12А. При расчете принято =0.54 нм, mk = 64.710-27 кг, mNa = 38.210-27 кг. Радиус канала r = 0.4 нм [8]. Полученные квантово-механические оценки тока больше, чем вычисленные ранее из электромеханических соображений. Это указывает на существенность квантовых эффектов при движении ионов через канал.
Таким образом, измеренный ток через одиночный канал Iиз = (34)10-12 А [7], лежит в области минимально возможных квантовых величин. Следовательно, его плавного изменения принципиально наблюдаться не может. Но отсутствие плавного изменения тока не является свидетельством ошибочности модели точно так же, как отсутствие излучения не является свидетельством неверности планетарной модели атома Бора.
Из основных принципов квантовой механики известно, что каким-то образом должна произойти редукция классического свойства - индуктивности нейромембраны - на квантовый уровень. Как, например, происходит редукция классической пространственной непроницаемости в энергетическую непроницаемость по принципу Паули с ослаблением предыдущей. В данном случае при погружении на квантовый уровень классическая индуктивность отдельного ионного канала редуцируется в инерционную кинетику ионных токов квантового каналового ансамбля.
Отметим, что предложенная в [4] модель, как и любая другая, предназначена для описания лишь отдельных сторон сложного биофизического явления - распространения потенциала действия в нейромембране с индуктивностью.
Движение иона через ионный канал носит спиральный характер [4], обусловленный формой -спирали белковой молекулы, из которой построен ионный канал. Для анализа движения иона в канале рассмотрим волновую функцию .
Уравнение Шредингера для стационарных состояний этой функции запишем в виде:
(1)
где - лапласиан волновой функции, m - масса
иона,
= 1.05410-34 Джс
- постоянная Планка, E-U = T -
разность между полной энергией иона в канале и его потенциальной
энергией (не зависящей от времени), которая равна кинетической
энергии.
Так как движение иона носит спиральный характер (рис. 1), перейдем в уравнении (1) к спиральным координатам по формулам:
Х = а cos ; Y = a sin ; Z = , (2)
где Х и Y - координаты в сечении, перпендикулярном оси канала, Z - координата вдоль оси канала, а - радиус движения иона, - угол вращения иона вокруг оси канала, = / 2 - постоянная, равная шагу спирального движения иона , деленному на 2.

Лапласиан волновой функции в спиральных координатах равен
(3)
Следовательно, уравнение (1) в спиральных координатах запишется в виде:
(4)
где принято = 2.
Найти точное решение этого уравнения не представляется возможным, поэтому рассмотрим некоторые частные случаи.
Во-первых, предположим, что радиус спирального движения иона очень велик, т.е. а = . Это означает, что волновая функция не имеет ограничений на величину своей амплитуды. Тогда уравнение (4) примет вид:
(5)
Учитывая, что mT = p2/2, где р - импульс иона, уравнение (5) можно переписать, как
(6)
где волновое число
Примем
=
где - длина волны де Бройля.
Тогда k = /(2).
Решение уравнения (6) имеет вид:
= A sin (k + ), (7)
где А - амплитуда волновой функции и - начальная фаза - постоянные интегрирования уравнения (6).
Граничные условия для найдем, исходя из следующих соображений. На спирали ионного канала должно укладываться целое число m длин волн де Бройля. Принимая начальную фазу = 0 и учитывая, что = 2, граничные условия будут иметь вид:
= 0 при = 0 и при = 4 n, т.е. = 2 n, (8)
где n = 0, 1, 2, и т.д. - количество витков движения иона в канале. Следовательно, можно записать, что = 0 при
k = k 4 n = 2 m, (9)
где m = 0, 1, 2, и т. д. Из (9) следует, что при m = 1 (т.е. в канале укладывается одна волна де Бройля) n = 1 / (2k) = /.
Полученный результат показывает, что при данном приближении, т.е. при бесконечно большом радиусе канала, в нем возникает плоская волна.
Рассмотрим теперь второй вариант, полагая, что радиус канала достаточно мал, так что a <<. В этом случае вторым слагаемым в скобках уравнения (4) можено пренебречь. Тогда уравнение (4) примет вид:
. (10)
Учитывая mT = p2/2
и обозначая
получаем уравнение
(11)
Решение этого уравнения имеет вид [9]:
. (12)
Рассмотрим движение иона через мембрану как перемещение через барьер конечной протяженности (рис.2). Ион движется вдоль оси Z, H - толщина мембраны.

Рассмотрим область I.
Полагая движение иона свободным, волновую функцию представим в виде плоской волны, причем волна с амплитудой A1 - прямая, а с амплитудой В1 - отраженная.
= A1eikz + B1e-ikz, (13)
где k - волновое число в области I.
Область II.
В этой области волновую функцию можно представить в виде выражения (12)
(14)
так как = 2 = 2Z/.
Область III.
В этой области нет отраженной волны поэтому волновая функция имеет вид:
= A3eikz. (15)
Полагая условия движения иона до и после мембраны одинаковыми, в (15) волновое число k принято такое же, как и в (13).
Рассмотрим границу областей I-II.
На этой границе должны выполняться условия:
(+0) = (-0) (16)
' (+0) = ' (-0). (17)
Условие (16) дает
(18)
Так как производная волновой функции в области II от (14)
, (19)
то '(+0) = 0.
Производная волновой функции в области I от (13)
'(Z) = ik(A1eikz - B1e-ikz). (20)
Cледовательно, '(-0) = ik(A1 - B1).
Таким образом, условие (17) дает
A1 = B1 (21)
Рассмотрим границу областей II-III.
На этой границе должны выполняться условия:
(+H) = (-H) (22)
'(+H) = ' (-H). (23)
Условие (22) приводит к уравнению
(24)
Условие (23) приводит к уравнению
(25)
Пронормируем волновую функцию , для чего примем в (13) A1 = 1. Тогда из (21) следует B1 = 1. Уравнение (18) приобретает вид:
(26)
Введем обозначения:
(27)
Уравнения (24) и (25) преобразуются к виду:
A3 = 1A2 + 1B2 (28)
A3 = 1B2 - 1A2 . (29)
Решая систему уравнений (28) и (29), получаем
(30)
Подставим формулы (30) в (26) и, обозначив:
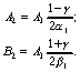
(31)
получим:
(32)
Найдем коэффициент прохождения D заряженных частиц через мембрану. В соответствии с [5]
(33)
Для нахождения квадрата модуля амплитуды волновой функции A3 проведем следующие преобразования. Обозначим
(34)
где w = k1[cos(2H/) -1] = -2k1sin2(H/).
Подставляя (34) в (32), найдем
Внутри потенциального барьера (область II) величина k1 - мнимая. Обозначая ее k1 = i, имеем:
w = i [cos(2H/)-1] = -2i sin2(H/) = i,
где = [cos(2H/)-1] = -2 sin2(H/).
Величина
где = -k/[2sin(2H/)] = k tg(H/)/(2).
Следовательно,
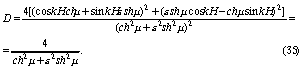
Таким образом, в соответствии с (33) имеем
При >>1 ch sh (1/2)exp(), следовательно,
(36)
Обозначая Do = 16/(1+2), получаем
D Do exp(-2) (37)
На рис.3 показаны зависимости, построенные по формулам (35) - кривая 1 ( = -1/(1+2)) и (37) - кривая 3 (Do = 13.5). Кривая 2 - зависимость = ().

Из формулы (37) получаем, что для того, чтобы коэффициент проникновения был D < 1, необходимо 1>1.3.
Оценивая проникновение частицы на глубину мембраны, где вероятность ее нахождения еще значительна и равна D = e-1 0.37, находим по формуле (37) 2 1.8.
Используя определение , находим:
1/2 = sin2(H1/)/sin2(H2/) (38)
Величина = /2 0.086 нм, где принято, что шаг спирального движения иона ( - спирали [4]) - 0.54 нм. Следовательно, из (38) можно найти H2 = 0.0737 нм. В расчете принято H1 = 6 нм - часть толщины мембраны, где ион движется спирально.
Таким образом, можно сделать вывод о том, что заметная вероятность проникновения иона в глубь мембраны за счет туннельного эффекта ограничена примерно 1,22% толщины мембраны.
Проведенный расчет указывает на то, что диаметр
селективного воротного фильтра ионного канала должен быть, по
крайней мере, больше чем 1,22% толщины мембраны. Иначе мембрана
не сохранит свои барьерные свойства. Сравнение с известными размерами
ионов [1] показывает, что воротный фильтр может быть организован
одним слоем атомов в белковой молекуле ионного канала.
1. Волькенштейн М.В. // Биофизика.- М.: Наука, 1981.- 575 с.
2. Ходжкин А. Нервный импульс / Пер. с англ.- М.: Мир, 1965.- 128 с.
3. Кац Б. Нерв, мышца и синапс / Пер. с англ.- М.: Мир, 1968.- 224 с.
4. Волобуев А.Н., Неганов В.А., Нефедов Е.И. Индуктивно-емкостная модель возбудимой биоткани. Часть 1-4 // Вестник новых медицинских технологий.- 1996, ¦ 3, 4.- 1997, ¦ 1-3.
5. Левич В.Г., Вдовин Ю.А., Мямлин В.А. // Курс теоретической физики.- М.: Физматгиз, 1962.- Т.1.- С.96.- Т.2.- С.162, 280.
6. Cole K.S., Baker R.F. // J. Gen. Phisiol.- 1941.- V.24.- P.771.
7. Хьюбел Д., Стивенс Ч., Кэндел Э. и др. // Мозг / Пер. с англ.- М.: Мир, 1984.- С. 40, 44.
8. Самойлов В.О. Медицинская биофизика.- Л.: ВМА, 1986.- 490 с.
9. Камке Э. Справочник по обыкновенным дифференциальным
уравнениям / Пер. с нем.- М.: Наука, 1976.- 549 с.
The role of the quantum effects is considered during the movement of ions through a biomembrane. The role of a neuromembrane inductance of the is analysed in the description of the transfey of a nervous impulse at a quantum level. The quantum-minimum value of the ionic current is found. The equation of Shredinger for spiral movement of the ion through a barrier is received on the basis of representation of the biomembrane as a potential barrier. This equation is resolved in two variants: when the radius of the spiral movement of the ion is very large and when the radius is small as compared with a step of the spiral.
On the basis of the analysis of quantum tunnel effect,
the value of the passage-factor of the ion through the membrane
is found. Some conclusions are made about the character of the
selective filter of the ionic channel in the biomembrane.
Волобуев Андрей Николаевич
- доктор технических наук, 1947 года рождения. Окончил в 1971 г.
Московское высшее техническое училище им. Н.Э. Баумана. В
настоящее время - профессор кафедры физики Самарского государственного
медицинского университета. Зав. биофизической лабораторией НИИ
компьютерной электроструктурографии. Область научных интересов -
биофизика нейропроцессов, гемодинамика. Член Нью-Йоркской академии
наук и Европейской биоэлектромагнитной ассоциации. Автор 89 научных
работ.
Неганов Вячеслав Александрович,
1952 года рождения. В 1974 году окончил Куйбышевский государственный
университет. В 1983 году закончил аспирантуру при ИРЭ АН СССР.
Доктор физико-математических наук, старший научный сотрудник,
заведующий кафедрой основ конструирования и технологии радиотехнических
систем Поволжского института информатики, радиотехники и связи.
Директор Поволжского центра КВЧ-воздействий на биологические объекты.
Является специалистом в области электродинамики и техники СВЧ-
и КВЧ-диапазонов. Основные направления научной деятельности: создание
электродинамической теории полосково-щелевых структур СВЧ- и КВЧ-диапазонов
с учетом нелинейности и анизотропии параметров среды; разработка
невзаимных устройств СВЧ- и КВЧ-диапазонов; исследование воздействия
электромагнитных полей КВЧ диапазона на биологические объекты
и разработка соответствующей аппаратуры. Удостоен дважды серебряных
медалей ВДНХ за разработку приборов КВЧ-диапазона, является членом
редколлегий ряда периодических научно-технических изданий. Автор
более 100 научных трудов, в том числе монографии, 3 учебных пособий,
15 изобретений.
Нефедов Евгений Иванович,
1932 года рождения. С 1961 г. и по настоящее время работает
в Институте радиотехники и электроники РАН; главный научный сотрудник.
Доктор физико-математических наук, профессор, академик Академии
инженерных наук РФ, Международной академии информатизации, Академии
медико-технических наук, Нью-Йоркской академии наук, действительный
член Русского Физического Общества. Является президентом Межгосударственного
научно-учебного консультационного центра Объемные интегральные
схемы. Главный редактор журнала Электродинамика и техника СВЧ
и КВЧ, член редколлегий и редсоветов журналов Вестник новых медицинских
технологий, Миллиметровые волны в биологии и медицине, Автоматизация
и современные технологии, член Президиума МНТОРЭС им. А.С. Попова
и НТС Российского космического агенства. Автор 16 монографий,
50 изобретений и 350 статей. Награжден знаком Почетный радист.
Один из ведущих в мире специалистов в области радиофизики и электродинамики,
создатель ряда приоритетных научных школ: асимптотическая теория
дифракции, системы сверхбыстрой обработки информации на объемных
интегральных схемах СВЧ и КВЧ, теория единого информационного
поля ноосферы. Внесен в Директорий 500 выдающихся ученых мира,
издаваемый Американским биографическим институтом.
Романчук Петр Иванович,
1962 года рождения. Кандидат медицинских наук. В 1989 г. окончил
Куйбышевский медицинский институт. С 1994 г. работает в Самаре
заместителем директора НИИ компьютерной электроструктурографии.
Область научных интересов - биологическая обратная связь, изменения
структуры электрического поля человека при наличии патологического
процесса, скрининг-диагностика. Член Нью-Йоркской академии наук,
Американского общества по нейронауке, Европейской биоэлектромагнитной
ассоциации. Автор 63 научных работ.